Ósmosis
Cuando 2 soluciones con diferente potencial químico del solvente (una de ellas con disolvente puro) se ponen en contacto a través de una membrana semipermeable, el disolvente fluirá hasta alcanzar el mismo potencial químico en ambas soluciones. El flujo del solvente va en contrasentido del gradiente, es decir, de la solución menos concentrada a la más concentrada. Pero no significa que se igualarán las concentraciones, pues el flujo neto se detendrá cuando los potenciales químicos se igualen.
Pongamos el caso en donde se pone una solución concentrada en un embudo de seguridad, y este se aisla con una membrana semipermeable (solo permeable al agua) y se coloca boca abajo en un vaso con solamente agua:
El agua (solvente) fluirá del vaso hacia adentro del embudo hasta que los potenciales químicos se igualen. Eso NO significa que las concentraciones se van a igualar, pero sí los potenciales. De hecho, el nivel del agua se eleva, y este mismo nivel ejercerá presión por la columna de ese líquido lo que detendrá el flujo neto de agua. NOTA que hay cambio de presión, y el potencial químico es una medida de la energía de la solución (la cual también incluye los cambios en presión!).
O de antemano, se podría aplicar una presión para evitar el flujo del disolvente, desde el inicio. De hecho esta presión, y la dada por la columna serían la misma. A esta presión se le conoce como presión osmótica: “la presión que se debe ejercer sobre la disolución para contrarresar cualquier movimiento neto de disolvente entre la disolución y el disolvente puro, cuando éstos se han separado por una membrama semipermeable perfecta”.
Es decir, que se detendrá el flujo neto cuando el potencial del agua pura (μº) en el vaso sea igual al potencial químico del disolvente en la disolución del embudo (μd):

a este punto, dado que no hay cambios netos, se le llama equilibrio.
Esto implica que al equilibrio, la diferencia entre ambos potenciales será de 0.
Recordando que el potencial químico es el cambio de la energía libre de Gibbs. También podemos derivar el potencial, considerando los cambios de presión y la fracción mol del soluto:
.........(Ecuación 1)
Si recordamos la ecuación del potencial químico del disolvente, cuando no hay cambios de presión, ni temperatura:
![]()
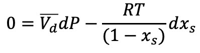
Recordando que dμ es igual a 0, y que
, el volumen molar del disolvente.
Sustituyendo todo estas igualdades en la Ecuación 1:
![]()
Para poder calcular el cambio de presión entonces debemos integrar la ecuación desde la condición 1: donde sería el solvente puro (xd=1, ln xd=0) con una presión determinada (p1); hasta la condición 2: la solución a una concentración del disolvente (xd) y cuya presión sería p1+la presión osmótica=p1+π. De esta manera, la ecuación quedaría:
Sin embargo, y de la misma forma que ocurre con las otras propiedades coligativas en disoluciones reales, la presión osmótica también puede desviarse cuando aumenta la concentración del soluto, y el comportamiento se asemeja más a la fórmula cuanto más diluida está la solución. Esto es, el peso molecular se calcula cuando c se aproxima a 0.
Lo cual se puede hacer graficando el cambio de la presión osmótica a diferentes concentraciones del soluto:
De esta manera, se puede saber el peso molecular de un soluto, a partir de la presión osmótica de datos experimentales.
Tonicidad y Presión osmótica
Como se ha mencionado la presión osmótica de una solución está referida al flujo del solvente desde una disolución con un potencial químico del disolvente mayor a una con un potencial químico menor. Sin embargo, algunas membranas semipermeables también permiten el flujo de algunos solutos. De esta forma, la presión osmótica tendrá que oponerse al flujo de solvente y de solutos permeantes. Esta presión se conoce como tonicidad. En otras palabras, la tonicidad de una disolución es la fracción de la presión osmótica de la disolución dada por los solutos a los que la membrana no es permeable.
Cuando se dice que una solución A es hipertónica a otra solución B, implica que la Solución A posee una mayor concentración de solutos a los que la membrana es impermeable respecto a la solución B. Esto es, el potencial químico del disolvente en la solución A es menor que en la solución B, de esta forma habrá flujo de disolvente desde la solución B, hasta la solución A. También es posible decir que la solución B es hipotónica respecto a la solución A.
En la investigación en ciencias biológicas y de la salud, es común que la tonicidad sea referida al plasma sanguíneo, así una solución hipertónica tendría una mayor concentración de solutos (sales, proteínas, amortiguadores, etc.) que el plasma sanguíneo.
La determinación de la presión osmótica de una solución puede calcularse a partir de su punto de congelación, dado que el descenso crioscópico también es una propiedad coligativa, igual que la presión osmótica. De hecho, uno de los equipos más comúnmente usados para determinar la presión osmótica, el osmómetro, se basa en esta propiedad.
En un osmómetro por el método de descenso del punto de congelación (freezing point depression method), lo que se determina es el punto de congelación de la disolución.
De esta forma, la presión osmótica se relaciona con el descenso crioscópico observado. Nótese que se menciona el descenso de la temperatura de fusión observado y no el calculado. Así, aún en el caso de los electrolitos esta relación permanece. Esto ha permitido que la presión osmótica de una disolución pueda ser calculada a partir del descenso crioscópico, independientemente de la naturaleza del soluto y siempre y cuando se trabaje con concentraciones suficientemente bajas.
Por otra parte, cuando se trabajan varias clases de soluto, puede ser útil tomar en cuenta que el descenso crioscópico dependerá de la molalidad total, incluyendo a todos los solutos, siempre que nos refiramos a la concentración de partículas.
cuando se trabaje con electrolitos, será mejor tomar en cuenta la molalidad calculada a partir del descenso crioscópico observado. El descenso crioscópico total, será igual a la suma de los descensos crioscópicos que cada componente pudiera generar por separado:
















No hay comentarios:
Publicar un comentario