Segundo principio de la termodinámica
Si tengo un vaso de cristal y lo dejo caer, se romperá en añicos y cada uno irá en direcciones alejándose del sitio donde cayó el vaso.
¿Por qué?
Desde el punto de vista energético podríamos decir que la energía para hacer el vaso sería la misma pero en sentido contrario que para hacerlo añicos. Sin embargo, sabemos que volver a hacer el vaso, no es tan sencillo como hacerlo añicos.
Si ponemos sal en una taza de agua, la sal se disolverá con el tiempo. ¿por qué ocurre eso si no hay cambios de temperatura, ni presión, ni volumen, ni número de moles?
Algunos procesos pueden ocurrir por sí solos, como la ruptura del vidrio una vez que se golpea o la disolución de la sal. A estos procesos les llamamos espontáneos. Recuerda que espontáneo no significa que sea rápido, solo que ocurra por sí solo. No obstante, el proceso inverso no lo es.
Estos procesos en buena parte se deben al movimiento molecular. El movimiento traslacional de las moléculas de la sal en el agua, permite que poco a poco se disuelvan. El producto final puede o no cambiar de temperatura, por lo que no está relacionado con la entalpía. Sin embargo, sí que implicará que la energía interna del sistema aumente.
Ahora bien, no todas las partículas tendrán la misma energía, pues esta se distribuye siguiendo la distribución probabilística de Gauss.

De esta manera, la energía cinética de las moléculas, no solo se manifestará como cambios de calor, sino también en su movimiento y sentido de dirección, que a su vez dará sentido del proceso. Las moléculas de sal se dispersan en el agua, porque tienen la libertad de "moverse" aleatoriamente, y no regresarán al grano de sal, a menos que haya energía externa que lo logre. Así, su movimiento dependerá de la distribución energética entre las moléculas y se puede entender en términos de probabilidad.
Recordemos que la probabilidad de que ocurra un suceso la denominamos como p. Por ejemplo, la probabilidad de que al tirar una moneda esta caiga cara o cruz sería p=5. Digamos que la probabilidad de que una molécula se mueva en dirección (x,y,z) sea de p. Entonces, la probabilidad de que N moléculas se muevan sería de...
Consideremos ambas fórmulas. En la de Gauss puedes ver que la Probabilidad es una función exponencial, donde la parte de arriba del exponente viene la diferencia de cada valor respecto al promedio. Este a su vez se divide sobre σ, que es una medida de dispersión (proporción que mide el orden), lo que implicaría que mientras más desorden haya, la distribución de probabilidad se ampliaría. Eso implicaría que la probabilidad tendría que estar relacionada a una medida de orden y a una medida de desorden. Así que podríamos decir que para una molécula:
Donde k es solo una constante de proporcionalidad. Si despejamos, podríamos tener una idea de la medida del desorden, al que llamaremos S:
Desorden=S=kBlnP
Ahora bien, la probabilidad la vas a encontrar como W o como Ω,
S=kBlnΩ .......... (Ecuación 1)
Esta variable de desorden es llamada Entropía. (Notarás que cambié el signo, en realidad, como la P es menor que 1, el valor de S siempre saldrá negativo, pero es más complicado que eso, por ahora dejémoslo así, porque es difícil conocer el valor absoluto de la entropía, es más fácil cuando se habla de cambio de desorden).
y Ω es la probabilidad de que una molécula esté en una configuración/movimiento/dirección (les llamamos microestados). kB es la constante de Boltzmann.
Así que si queremos hablar de una molécula, el cambio de desorden sería
S2-S1= kB lnΩ2 - kB lnΩ1
en otras palabras,
como la probabilidad Ω se relaciona directamente proporcional con el volumen (a mayor volumen mayor probabilidad, porque hay mas espacio para que la molécula se mueva o cambie de microestado) entonces, para una molécula:
Considerando las propiedades de los logaritmos
De esta manera, esta es la fórmula para calcular el cambio de la entropía cuando hay cambio de volumen.
como se puede ver, esta fórmula se parece mucho al calor en un cambio isotérmico reversible de volumen
qrev=-w
q=nRTln(V2/V1)
solo que q tiene el factor T en la ecuación, así que

.......... (Ecuación 2)
Eso implicaría que el cambio de entropía sería iggual al calor transferido entre la temperatura (absoluta) a la que ocurre el proceso. Así, para cambios infinitesimales:

......... (Ecuación 3)
ojo, recuerda que se calcula para reversibles. Si fuera irreversible, el valor del calor sería menor, y por tanto el valor de la entropía (que es una variable de estado) sería mayor que el del calor divido por la temperatura. dS (irreversible) > q(irreversible)/T.
Ahora bien, imagina una máquina a la cual puedas calentar un gas dentro de ella poniéndolo en contacto con un objeto A. El gas se expande convirtiendo esa energía en un trabajo que se puede utilizar para mover una turbina o lo que sea. Después, lo enfrías poniéndolo en contacto con un objeto de menor temperatura B, y entonces se comprime, esta compresión puede también convertirse en movimiento. Ahora este gas estaría listo para volver a calentarlo y así. De tal manera, que podrías hacer un ciclo convirtiendo esas transferencias de calor en trabajo
Esta máquina se llama máquina térmica de Carnot por el físico francés, padre de la termodinámica. Este principio se usa para el tren a vapor:
y fue el antecesor de los motores que ahora usamos en los vehículos automotores
Bueno, como te mencioné arriba, podría ocurrir en un ciclo, entonces se puede decir que ocurre en cuatro pasos, con cuatro estados, que llamaremos A, B, C y D. Vistos en un diagrama Clapeyron:
1) El Proceso A-B implicaría un incremento (expansión) isotérmico de volumen con disminución de presión. Corresponde al paso de la figura en la extrema izquierda (1) a la siguiente 2 (donde el gas está de color como rosa).
2) El Proceso B-C implicaría un incremento (expansión) adiabático de volumen con disminución de presión. Corespondería de la figura 2 a la 3.
3) El Proceso C-D implicaría una disminución (compresión) isotérmica de volumen con incremento de presión. Correspondería de la figura 3 a la 4 (antes de ponerlo en contacto con el enfriador B).
4) El proceso D-A implicaría una disminución adiabática de volumen con incremento de presión. Correspondería al paso de la figura 4 a la 5.
Ahora bien, cómo son los cambios de energía interna, calor y trabajo en estos procesos:
1) Expansión isotérmica con incremento de presión (De A a B del ciclo de Carnot):
ΔU=0
w=-RT1ln(VB/VA)
q=-w
2) Expansión adiabática con incremento de presión (De B a C en el ciclo de Carnot):
q=0
ΔU=CvΔΤ=Cv(T2-T1) (nota que T1> T2, así que ΔU es negativo)
w=ΔU
3) Compresión isotérmica con disminución de presión (C a D):
ΔU=0
w=-RT2ln(VD/VC)
q=-w
4) Compresión adiabática con disminución de presión (D a A):
q=0
ΔU=CvΔΤ=Cv(T1-T2)
w=ΔU
Como el proceso 1 y 3 son isotérmicos eso significa que el ΔΤ en el proceso 2 es igual a -ΔT del proceso 4, es decir, la temperatura final del proceso 2, es la temperatura inicial del proceso 4 y viceversa. Por lo tanto el ΔU del proceso 2 es = -ΔU del proceso 4. Así mismo, el trabajo del proceso 2 es el negativo del trabajo del proceso 4
PV del punto A es igual al PV del punto B (porque el proceso es isotérmico)
PV del punto C es igual al PV del punto D (porque el proceso es isotérmico)
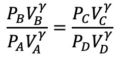
PV^γ del punto B es igual a PV^γ del punto C (porque es adiabático)
PV^γ del punto A es igual a PV^γ del punto D (porque es adiabático)
recuerda que γ=Cp/Cv
Dada las igualdades antes mencionadas, podemos decir que:
y por tanto:
.......... (Ecuación 4)
Quiz: ¿Cómo se deduce esta fórmula de la anterior?
Para calcular el trabajo: que sería la suma de los trabajos de los cuatro procesos:
Como el trabajo del proceso 2 es igual al proceso 4 pero de sentido contrario, sea hacen 0.
Así el trabajo total es:
Quiz: deduce que la ecuación anterior se simplifica a:

...... (Ecuación 5)
y el calor que se absorbe en el proceso 1:

.........(Ecuación 6)
y el q que se emite en el proceso 3:
Y ΔU del proceso? es 0. Si sumas todos los valores, la suma final da 0. Esto es consistente con el hecho de que es una variable de estado y se regresa al punto inicial, por lo que la energía del estado final y la del inicial son la misma, así que ΔU es 0.
Podríamos calcular la eficiencia viendo qué tanto del calor absorbido en el proceso 1 (Ecuación 5) se convierte en trabajo (Ecuación 4).
Entonces la eficiencia sería:
y simplificando:

.........(Ecuación 7)
Recuerda T
2 es la Temperatura del proceso 3, y T
1 la temperatura del proceso 1, Como T
1 > T
2, entonces el valor de la eficiencia siempre será una fracción positiva.
Quiz: considerando estas ecuaciones, calcula el cambio de entropía del ciclo completo

Dado que el calor emitido o absorbido por el sistema implica el intercambio con los alrededores, eso significa que la entropía de los alrededores también cambian. Sin embargo, como los alrededores tiene una masa "infinita" con comparación con el sistema. Se puede decir que este cambio de entropía sería igual ya sea que el proceso del sistema. sea reversible o irreversible. Recuerda que el calor en el proceso reversible es menor que en un proceso irreversible. Eso significa que la entropía de un sistema aumenta cuando ocurren procesos irreversibles. Mientras que si ocurren procesos reversibles es cero (como en el ciclo de Carnot, y eso considerando que regresas al punto inicial). Nota que en ningún caso puede disminuir. A este fenómeno le llamamos Segunda ley de la termodinámica, que podemos enunciar como: "La entropía de un sistema aislado aumenta en un proceso irreversible y permanece sin cambio en un proceso reversible, pero nunca puede disminuir" o como decimos coloquialmente "La entropía siempre o aumenta o es 0".
Entonces, eso te facilitará el cálculo de la entropía, en cada paso, la puedes calcular con la ecuación 3 en procesos isotérmicos:
......... (Ecuación 3)
o con la ecuación 2en procesos que no sean a volumen constante:
.........(Ecuación 2)
A presión constante y en cambios de fase, el calor será igual a la entalpía, a volumen constante, será igual a la energía interna.
Quiz: deriva la siguiente ecuación para la entropía durante un calentamiento a presión constante.
Todos estos cambios, asumen que n no cambia.
¿Qué ocurre cuando n cambia?, Primero veamos qué ocurre cuando dos gases (gas A y B) cada uno con su volumen (VA y VB) se mezclan y su volumen cambia:
Y entonces,

Usando las propie

......... (Ecuación 8)
Y en las reacciones, qué ocurriría?
Si asumimos que la presión de los alrededores no cambia, entonces:
y entonces, de manera análoga al cálculo de entalpía, también podemos hacer para la entropía:

......... (Ecuación 9)
recuerda que la entropía de los productos se calcula a partir de la suma de la entropía de cada producto multiplicada por el número de moles, por lo que es muy importante que tengas la ecuación química balanceada. Ya hay tablas de valores de entropía para productos y reactivos, cuyas unidades están en J/molK. Recuerda que la temperatura debe ser dada en grados Kelvin.
Como vimos en la Ecuación 1, entonces la entropía está relacionada con el desorden, esto tiene aplicaciones importantes, la entropía permite medir, si en efecto hay una distribución probabilística o hay una "energía" organizadora. Esto gracias al desarrollo de la ecuación de Boltzmann.
Veamos un ejemplo.
La entropía del anhídrido carbonoso CO teórica, es decir, calculada según el número de conformaciones debería ser de 5.8 J/molK. Sin embargo, la determinación experimental es de 4.2. Dada la ecuación 1 S=kBlnΩ, significa que la disminución de la entropía solo puede deberse a una disminución de la probabilidad de posición Ω. La disminución de la probabilidad, implica que hay una fuerza "ordenadora", probablemente fuerzas intermoleculares dipolo-dipolo o dipolo-inducido. Eso implica que en sistemas reales, la suma de las probabilidades Ω no siempre es 1, y eso nos permite entender qué ocurre en los procesos y si realmente se están presentes fuerzas ordenadoras.
En un caso más "macroscópico" aplicamos una ecuación semejante a un ecosistema. Imagina que tengo un ecosistema con 10 especies diferentes. la probabilidad de que cada especie tenga un número de individuos semejantes es de 0.1. Si aplicamos la ecuación 1, utilizando como constante de proporcionalidad k en lugar de la constante de boltzmann (porque no son moléculas sino un ecosistema), entonces la entropía sería igual a -23k. Eso implicaría que cualquier valor más negativo, implicaría que no está habiendo la misma probabilidad para cualquier especie. Por ejemplo, si encuentras valores de -41, significaría que hay una especie que tiene más probabilidad que la normal, lo que significaría que se está saliendo de la aleatoriedad, lo que puede deberse a que es predador o que hay una alteración en el ecosistema (como un contaminante o una especie predominante o invasora) que esta sacando al ecosistema de su distribución normal. Este es el principio del índice de Shanon-Weaver de biodiversidad, basado en el concepto de desorden (entropía) definido por Boltzmann.
De esta manera, hay varias fórmulas que siguen la ecuación 1 de Boltzmann. Desde el punto de vista macroscópico, puedes determinar que muchas variables fisicoquímicas en realidad se derivan de esta función de distribución probabilística de energías. Por ejemplo, podemos definir una Función energética que se relacione con la Temperatura, volumen y número de moles de una sustancia:
A(T,V,n)=-kBTlnQ......... (Ecuación 10)
donde Q, no es calor, es una función también de T, V y n y se relaciona con la función de distribución probabilística energética de las moléculas de este sistema. Q se llama función de partición, mejor llamada función de partición canónica, que es el fundamento de la mecánica estadística. A sería la energía en cuanto a volumen y n, a una temperatura dada.
Más adelante, cuando definamos a la ecuación 10, en función de la energía cinética de las moléculas, esta ecuación, terminará definiendo la energía de Helmoltz, ΔA. Se utiliza A por "arbeit" en alemán, que significa trabajo.
ΔA se define en términos de los cambios de energía interna del sistema al que se le elimina la entropía, con lo que es posible determinar el cambio de energía de un sistema, una solución o un compuesto tras restarle el factor entrópico.
Por ejemplo, si cambiamos una molécula X de agua a un solvente cualquiera, parte de la energía provocará un desorden, pero otra parte de la energía nos permitirá medir si hay cambios de contracción de microvolumen (porque el volumen total no cambiará) o energías de unión entre la molécula X y el solvente nuevo, cambiando la energía cinética de la molécula X y del solvente que lo rodea. Con lo que ΔA nos permitirá medir la energía de esa molécula en su interacción con el solvente, o dicho de otra manera, el trabajo que nos costaría poder pasar esa molécula X desde agua al solvente. ΔA=-w. Lo veremos en otro blog.
No hay comentarios:
Publicar un comentario